HarmonyOS 架构深度解析(七)
一次开发多端部署与性能总结
·
一次开发多端部署与性能总结
本文是系列终篇,将带你掌握 HarmonyOS 的工程级、功能级、界面级多端适配能力,并基于 OSDI'24 论文的实验数据,全面了解 HongMeng 微内核的性能表现。
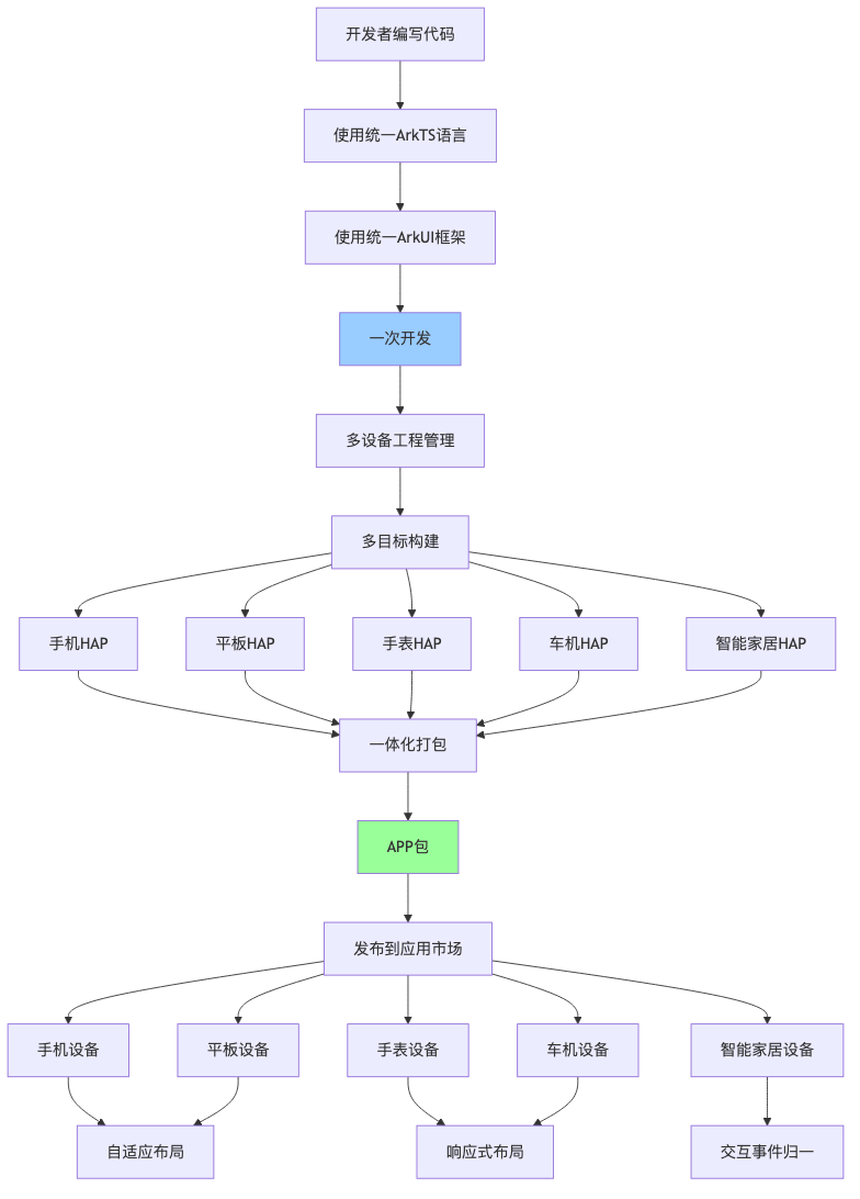
1. 一次开发多端部署
1.1 工程级能力
HarmonyOS 支持在同一工程中管理多个设备的代码和资源:
| 能力 | 说明 |
|---|---|
| 多设备工程管理 | 共享公共代码,按设备类型组织特定代码 |
| 多目标构建 | 一次构建生成多个设备的安装包 |
| 一体化打包 | 将多设备安装包打包成一个 APP 包 |
1.2 功能级能力
逻辑与 UI 解耦: 业务逻辑代码可在不同设备上运行,UI 根据设备特性自适应。
跨端接口差异化屏蔽: 框架层屏蔽不同设备的接口差异,开发者使用统一的 API。
1.3 界面级能力
自适应布局
组件根据容器大小自动调整尺寸和位置,支持百分比布局和Flex弹性布局两种模式:

图:自适应布局
| 布局方式 | 适用场景 | 特点 |
|---|---|---|
| 百分比布局 | 固定比例分配 | 左右区域按比例分配空间 |
| Flex弹性布局 | 动态网格 | 自动换行,均匀分配 |
响应式布局
根据断点(breakpoint)自动切换不同的布局结构,实现一套代码适配多种屏幕:

图:响应式布局
| 屏幕类型 | 断点范围 | 栅格策略 | 典型设备 |
|---|---|---|---|
| 小屏 xs/sm | < 600vp | 单列(span:12) | 手机竖屏 |
| 中屏 md | 600-840vp | 双列(span:6) | 平板、手机横屏 |
| 大屏 lg | > 840vp | 三列(span:4) | PC、大屏平板 |
交互事件归一
统一处理不同设备的输入事件,开发者无需关心具体输入方式:

图:交互事件归一
| 统一事件 | 支持的输入方式 | 说明 |
|---|---|---|
| onClick | 触摸点击、鼠标点击 | 点击交互统一处理 |
| onHover | 鼠标悬停、触控悬停 | 悬停状态统一处理 |
| onFocus | 键盘焦点、触控焦点 | 焦点管理统一处理 |
1.4 部署流程图

图:部署流程图
2. 性能数据与实证分析
2.1 IPC 性能对比
根据论文在 Raspberry Pi 4b 上的基准测试:
| 配置 | 往返延迟 (Cycles) | 说明 |
|---|---|---|
| IC0-IC0 | 18 | 无隔离,间接函数调用 |
| IC1-IC1 | 502 | 内核空间机制隔离 |
| IC2-IC2 | 1439 | 完整用户空间隔离 |
| seL4 | 1376 | 业界知名微内核 |
| Fiasco.OC | 2883 | 传统微内核 |
关键结论: IC1-IC1 配置(适用于智能手机核心服务)比 seL4 快 2.7 倍。
2.2 应用启动速度提升
测试 Top 30 AOSP 应用的冷启动时间:

图:应用启动速度提升
- 几何平均: HongMeng 比 Linux 快 17%
- 原因: 更轻的系统负载和定制调度策略
2.3 场景化性能数据
智能路由器
| 指标 | 改进 |
|---|---|
| 系统内存占用 | 减少 30% |
| 支持客户端连接数 | 增加 30% |
智能汽车
| 指标 | 改进前 | 改进后 | 提升 |
|---|---|---|---|
| 冷启动时间 | 1.5s | 0.6s | 减少 60% |
| 跨域通信延迟 | 250μs | 100μs | 减少 60% |
智能手机
| 指标 | 改进 |
|---|---|
| 应用启动时间 | 缩短 17% |
| 帧丢失次数 | 减少 10% |
| 系统负载 | 降低 19% |
3. 架构创新点总结
HarmonyOS 在系统架构层面实现了多项关键创新:
| 创新领域 | 核心技术 | 主要收益 |
|---|---|---|
| 微内核设计 | 差异化隔离等级 (IC0/IC1/IC2) | IPC 性能提升 3 倍 |
| IPC 优化 | 同步 RPC 式快速路径 | 解决资源管理三大问题 |
| 访问控制 | 地址令牌机制 | 访问性能提升 87 倍 |
| 驱动复用 | 驱动容器 + 孪生驱动 | 复用 700+ Linux 驱动 |
| 分布式能力 | 软总线 + 硬件虚拟化 | 实现超级终端体验 |
| 图形渲染 | 后端统一渲染 + DDGR | 无层数限制,帧丢失减少 10% |
| 多端部署 | 一次开发多端部署 | 开发效率大幅提升 |
4. 生态建设与未来展望
生态建设现状
- 设备覆盖: 手机、平板、手表、电视、车机、音箱、智能家居等全场景
- 开发者工具: DevEco Studio 持续完善
- API 能力: 持续扩展,覆盖绝大多数应用场景
- 应用生态: 主流应用逐步适配
未来发展方向
- 微内核演进: 持续优化 IPC 性能,扩展差异化隔离应用场景
- 分布式能力增强: 更智能的设备发现和任务调度
- AI 融合: 深度集成 AI 能力,提供智能化系统服务
- 生态扩展: 吸引更多开发者和合作伙伴加入
参考资料
学术论文
- Haibo Chen, Xie Miao, Ning Jia, et al. "Microkernel Goes General: Performance and Compatibility in the HongMeng Production Microkernel", OSDI'24, July 2024.
官方文档
扩展阅读
本文是「HarmonyOS 系统架构深度解析」系列第 7 篇(终篇)。感谢您的阅读!
更多推荐



所有评论(0)